- 聯系我們
- 內 貿 部:0632-5228899 18806325904
外 貿 部:0632-3671188 17763266218
采 購 部:0632-7663999 18663267979
人力資源:0632-7683555
郵箱:kr@krwater.com
官 網:http://www.nmgyhsy.com
地址:山東省棗莊市薛城區薛城化工產業園府前路路南1號
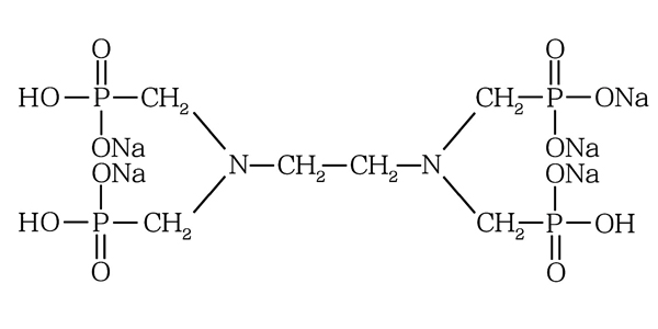
Ethylene Diamine Tetra (Methylene Phosphonic Acid) Pentasodium Salt(EDTMP?Na5)
- 別名:乙二胺四亞甲基膦酸鈉、亞乙基二胺四甲叉膦酸鈉
- CAS No. 7651-99-2
- 分子式 C6H15O12N2P4Na5 相對分子質量:546.13
- 結構式

- 一、性能與用途:
- EDTMP·Na5是中性產品,含氮有機多元膦酸鹽,屬陰極型緩蝕劑,能與水混溶,無毒無污染,化學穩定性及耐溫性好,在200℃下仍有良好的阻垢效果。在水溶液中能離解成8個正負離子,因而可以與多個金屬離子螯合,形成多個單體結構大分子網狀絡合物,松散地分散于水中,使鈣垢正常結晶破壞。EDTMP鈉鹽對硫酸鈣、硫酸鋇垢的阻垢效果好。
- EDTMP?Na5用于循環水和鍋爐水的緩蝕阻垢劑、無氰電鍍的絡合劑、印染工業軟水劑、電廠冷卻水處理等。
- EDTMP?Na5的固體產品具有輕微吸潮性,方便運輸和在寒冷條件下使用。
- 二、技術指標
| 項 目 |
指 標 |
| HG/T4329-2012 |
----- |
| 外 觀 |
琥珀色透明液體 |
白色粉末固體 |
| 活性組分(以EDTMP?Na5計) % |
30.0-32.6 |
≥81.4 |
| 活性組分(以EDTMPA計) % |
24.0-26.0 |
≥65.0 |
| 氯化物 (以Cl-計) % |
≤2.0 |
≤2.0 |
| 鐵(以Fe2+)含量mg/L |
≤10.0 |
≤20.0 |
| 密度(20℃)g/cm3 |
≥1.25 |
- |
| pH(1%水溶液) |
6.0-8.0 |
6.0-8.0 |
- 三、包裝與貯存
- EDTMP·Na5液體用塑料桶包裝,每桶25kg或250kg,或根據用戶需求確定。固體用內襯聚乙烯袋的塑料袋包裝,每袋凈重20kg或根據用戶需求確定。貯于室內陰涼、干燥處,防潮。固體貯存期為十個月,液體貯存期為十個月。
- 四、安全防護
- EDTMP?Na5為中性,操作時注意勞動保護,應避免與皮膚、眼睛等接觸,接觸后用大量清水沖洗。